化学发光技术原理
发布日期:2023-12-29点击量:918次编辑:szbyjy_admin
来源:体外诊断技术支持















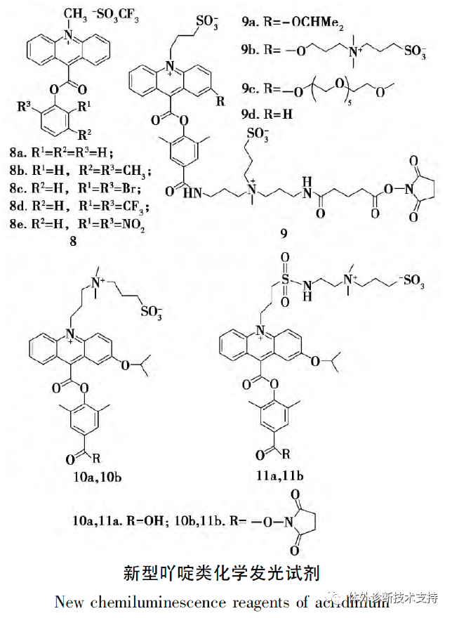
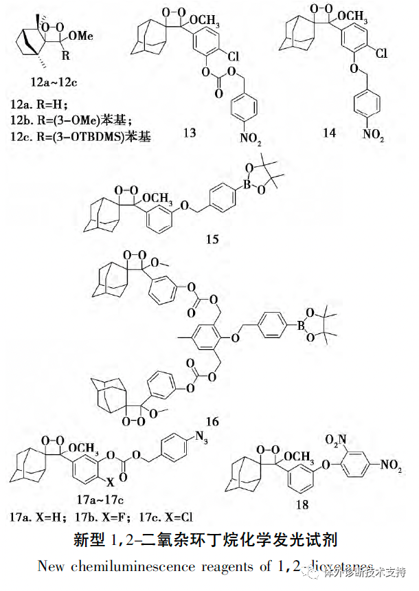
1,2-二氧杂环丁烷类的发光研究已经获得了广泛应用。像AMPPD 试剂采用微粒子化学发光技术,用最新磁性微粒包被抗体,用碱性磷酸酶( ALP) 标记抗原( 抗体) 。经过抗原抗体反应,碱性磷酸酶结合在微粒子上( 碱性磷酸酶的结合量同病人血清中的待测物质成比例) ,反应管两边有磁场,磁性微粒包被的抗原抗体结合物被吸附在管子两边,其他游离部分被抽吸掉。最后加入发光底物,通过光电倍增管检测反应的发光强度。此外,CSPD 和CDP-Star 也是继AMPPD 之后合成出的化学发光试剂,其性能更优于AMPPD。







苏公网安备32050502011778号
