简析ATP、ADP、AMP、dATP、dNTP、ddATP、cAMP、NADH和NADPH
来源:囡波湾生物
ATP(A—P~P~P)三磷酸腺苷 在ADP基础上用特殊化学键再连接一个磷酸基团
ADP(A—P~P)二磷酸腺苷 在AMP基础上用特殊化学键再连接一个磷酸基团
AMP(A—P)是一磷酸腺苷(腺嘌呤核糖核苷酸),由一分子腺嘌呤、一分子核糖组成的腺苷,以及一分子磷酸组成。

2、dATP、dNTP
dNTP:脱氧核糖核苷三磷酸
每个dNTP由磷酸基团,脱氧核糖和含氮碱基组成。有四种不同的dNTP,可分为两组:嘌呤和嘧啶。
例如:
dATP:三磷酸脱氧腺苷
由脱氧核糖,磷酸和腺嘌呤的化合物组成
+ + + +

ddATP (三磷酸腺嘌呤双脱氧核苷酸)
组成:一分子核糖,其中2号3号C上羟基的O被脱去,三分子磷酸和一分子腺嘌呤组成的化合物,其中三个磷酸分子连在一起具有高能磷酸键。
作用:应用于双脱氧链末端终止法,
由于它掺入DNA后DNA的合成就终止了,所以ddATP是用来测序的

环磷酸腺苷,cAMP(cyclic AMP)
3ˊ,5ˊ-环腺苷酸,细胞内的第二信使,由于某些激素或其它分子信号刺激激活腺苷酸环化酶催化ATP环化形成的。其信号的继续传递依赖于蛋白激酶A(protein kinase A,PKA)
在E.coli中cAMP也参与转录调控。


NAD+、NADH、NADP+和NADPH在光合作用、呼吸作用的电子传递链上作为四种重要的辅酶承载着电子传递的作用,正是它们的相互转化,才使得细胞的物质代谢和能量转化正常进行。这四种辅酶分子量和结构高度相似,往往只相差1个氢原子或者1个磷酸基团。
NADH是还原型辅酶Ⅰ,NADPH是还原型辅酶Ⅱ。N,A,D,P,H各自代表什么?
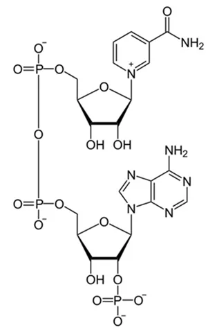
NADH和NADPH不是生物大分子,属于小分子物质。NAD+结构式见下图

这个名字叫做烟酰胺腺嘌呤二核苷酸。核苷酸大家都很熟悉,由五碳糖,含氮碱基,磷酸基团形成。NAD这个分子是两个核苷酸形成的,所以叫做二核苷酸。
上图的下半部分就是AMP(腺嘌呤核糖核苷酸,腺苷一磷酸):

上半部分有个烟酰胺,它是维生素PP的一种,把它看做是一种含氮碱基好了(吡啶衍生物,确实是一种含氮碱基),结构如下图。烟酰胺,核糖,磷酸基团形成了另外一个核苷酸(烟酰胺核糖核苷酸)。

NADH,N是烟酰胺,A是腺嘌呤,D是二核苷酸,加在一起就是烟酰胺腺嘌呤二核苷酸(nicotinamideadenine dinucleotide,NAD),再加上一个H,就是NADH 。
NAD+和NDAH动态变化如下图:

NAD+与NADH的相互转换
NADP+就是把AMP中的2号碳上的羟基换成磷酸基就是了。下图这个分子就是,名为烟酰胺腺嘌呤二核苷酸磷酸(nicotinamide adenine dinucleotidephosphate,NADP),NADPH是其还原型,名为还原型烟酰胺腺嘌呤二核苷酸磷酸,也叫还原型辅酶Ⅱ。

免责声明:本公众号发布内容部分信息来源网络,旨在学习交流与分享,所发表内容注明来源的,版权归原出处所有,与本公众号立场无关;无法查证版权的或未注明出处的均来源于网络搜集;如存在不当使用或侵权的情况请联系后台删除。




苏公网安备32050502011778号
